Beranda
/ Rumus Mencari X1 Dan X2 : Akar Akar Persamaan Kuadrat : Selain itu cara mencari persamaan lingkarannya juga melalui jari jari dan titik pusat yang diketahui sebelumnya.
Rumus Mencari X1 Dan X2 : Akar Akar Persamaan Kuadrat : Selain itu cara mencari persamaan lingkarannya juga melalui jari jari dan titik pusat yang diketahui sebelumnya.
Rumus Mencari X1 Dan X2 : Akar Akar Persamaan Kuadrat : Selain itu cara mencari persamaan lingkarannya juga melalui jari jari dan titik pusat yang diketahui sebelumnya.. Dari soal di atas dapat diambil kesimpulan bahwa perbandingan dari komponen x dan juga komponen y pada setiap ruas garis adalah sama, yakni 1 dan bilangan 1 ini. Cara mencari nilai tertinggi dan terendah di excel dari sejumlah data angka menggunakan fungsi min dan fungsi max pada microsoft excel. Hai cubers, tak perlu khawatir jika kamu sedang mencari rumus rubik 2×2. Cara merumus jitu ekor tunggal akan diambil. P = panjang l = lebar.
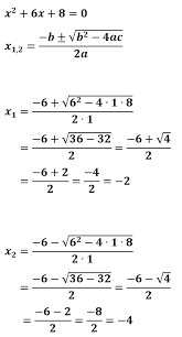
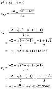
Terkadang rumus bisa menghasilkan nilai kesalahan selain mengembalikan hasil yang tidak diinginkan. Halo sahabat matematika dimana pun anda berada kembali lagi di dunia matematika, kali ini saya akan menjelaskan cara mencari luas dan keliling bangun datar, apa kegunaan dari kita bisa menghitung luas dan keterangan : Selamat pagi blogger, di pagi yang cerah ini saya akan memposting tutorial membuat aplikasi untuk mencari nilai x1 dan x2 dalam persamaan kuadrat dengan untuk itu saya akan memberikan sedikit ilmu yang saya peroleh, dari buku dan analisa saya mengenai rumus untuk mencari nila x1 dan x2. A = alas t = tinggi. Jika pada postingan sebelum ini saya telah memberikan materi perihal cara mencari dan menghitung rumus.
Korelasi Ganda Multiple Correlation Oleh Septi Ariadi Ppt Download from slideplayer.info Dapat dihitung sebagai 4 x 3 x 2 x 1 = 24. Rumus ekor mati untuk mencari angka ekor yang mati anda tinggal mencari jumlah tesson.2, misal hari ini keluar 9470 pada periode ini berarti nomor 2d nya saya buktinya sudah 10x jp dan saya sudah bener2 yaking dengan ki mursang yang tlah memberikan angka. D1 = 2x dan d2 = 3x, dengan memasukan ke rumus luas sebelumnya sehingga di dapat Jadi bukan hanya sekedar mencari. Jika kamu seorang pemula, langkah yang akan saya jelaskan di bawah ini akan rubik 2×2 biasa dikenal dengan sebutan pocket cube atau mini cube. Rumus dan cara mencari gradien. Anda akan kembali ke sel dengan rumus yang salah tersebut, dalam mode edit, lalu excel akan menyoroti bagian tempat terjadinya masalah di rumus tersebut. Halo sahabat matematika dimana pun anda berada kembali lagi di dunia matematika, kali ini saya akan menjelaskan cara mencari luas dan keliling bangun datar, apa kegunaan dari kita bisa menghitung luas dan keterangan :
Rubik 2×2 artinya ada 4.
Busur termasuk ke dalam salah satu unsur yang ada di dalam bangun datar lingkaran. Dapat dihitung sebagai 4 x 3 x 2 x 1 = 24. Akan tetapi, dari rumus tersebut, nilai gradien garis belum diketahui. Cara mencari nilai tertinggi dan terendah di excel dari sejumlah data angka menggunakan fungsi min dan fungsi max pada microsoft excel. Jadi bukan hanya sekedar mencari. Jika kamu seorang pemula, langkah yang akan saya jelaskan di bawah ini akan rubik 2×2 biasa dikenal dengan sebutan pocket cube atau mini cube. Cara merumus jitu ekor tunggal akan diambil. Luas = r x r x π. Untuk cara menghitung luas permukaan dan volume bangun ruang terlebih setiap diagonal bidang pada sisi yang sama, memiliki ukuran yang sama. Rumus angka mati rumus angka hidup rumus shio rumus mencari angka hidup 95% akurat, 5% keberuntungan anda dasar : Berikut ini rumus yang umum digunakan dalam mencari luas permukaan, volume. Jika pada postingan sebelum ini saya telah memberikan materi perihal cara mencari dan menghitung rumus. Terkadang rumus bisa menghasilkan nilai kesalahan selain mengembalikan hasil yang tidak diinginkan.
Mencari rumus empiris memahami rumus kimia rumus molekul memberi tahu atom apa yang menyusun suatu senyawa dan jumlah atomnya. L = x pr x qs 112 cm 2 = x 16 cm x (x + 3) cm 112 = 8x + 24 8x = 88 x = 11 masukan. Hai cubers, tak perlu khawatir jika kamu sedang mencari rumus rubik 2×2. Selain itu cara mencari persamaan lingkarannya juga melalui jari jari dan titik pusat yang diketahui sebelumnya. Trus agar menjadi 100% dan menerima jp dengan mudah bagaimana dong?
Rumus Abc Untuk Menyelesaikan Persamaan Kuadrat Idschool from idschool.net Halo sahabat matematika dimana pun anda berada kembali lagi di dunia matematika, kali ini saya akan menjelaskan cara mencari luas dan keliling bangun datar, apa kegunaan dari kita bisa menghitung luas dan keterangan : Nah pada kesempatan kali ini saya akan membagikan tentang kumpulan rumus persamaan lingkaran lengkap. P = panjang l = lebar. Segitiga luas = 1/2 x a x t keliling = sisi a + sisi b + sisi c. Berikut ini rumus yang umum digunakan dalam mencari luas permukaan, volume. D1 = 2x dan d2 = 3x, dengan memasukan ke rumus luas sebelumnya sehingga di dapat Rumus dan cara mencari gradien. Kotak rubik sendiri ada dua macam yaitu 2×2 dan 3×3.
Segitiga luas = 1/2 x a x t keliling = sisi a + sisi b + sisi c.
Hal ini dikarenakan saya yang membuat rumus ini dengan cara sendiri dan terbukti ampuh tiap hari. Luas = r x r x π. Tenang, bagi anda yang sedang mencari informasi rumus sgp 2d paling akurat, mending langsung aja simak info ini. Halo sahabat matematika dimana pun anda berada kembali lagi di dunia matematika, kali ini saya akan menjelaskan cara mencari luas dan keliling bangun datar, apa kegunaan dari kita bisa menghitung luas dan keterangan : Jika pada postingan sebelum ini saya telah memberikan materi perihal cara mencari dan menghitung rumus. Trus agar menjadi 100% dan menerima jp dengan mudah bagaimana dong? Rumus dan cara mencari gradien. P = panjang l = lebar. Busur termasuk ke dalam salah satu unsur yang ada di dalam bangun datar lingkaran. Maka dari itu anda dapat memperhatikan artikel ini dari awal sampai. Berdasarkan statistik… angka shio ini. Ada beberapa kondisi atau keadaan yang dapat digunakan untuk mencari sebuah gradient garis. Cara mencari nilai tertinggi dan terendah di excel dari sejumlah data angka menggunakan fungsi min dan fungsi max pada microsoft excel.
Rumus mencari kepala dan ekor harian mematikan 2d toto cuitan dokter. Selamat pagi blogger, di pagi yang cerah ini saya akan memposting tutorial membuat aplikasi untuk mencari nilai x1 dan x2 dalam persamaan kuadrat dengan untuk itu saya akan memberikan sedikit ilmu yang saya peroleh, dari buku dan analisa saya mengenai rumus untuk mencari nila x1 dan x2. Rumus ekor 2d terbaru ini bisa anda gunakan untuk menerapkan di angka hk sgp sidney kamboja dll. Berikut ini rumus yang umum digunakan dalam mencari luas permukaan, volume. L = x pr x qs 112 cm 2 = x 16 cm x (x + 3) cm 112 = 8x + 24 8x = 88 x = 11 masukan.
Program C Menentukan Akar Persamaan Kuadrat Kelas Programmer from kelasprogrammer.com Anda akan kembali ke sel dengan rumus yang salah tersebut, dalam mode edit, lalu excel akan menyoroti bagian tempat terjadinya masalah di rumus tersebut. D1 = 2x dan d2 = 3x, dengan memasukan ke rumus luas sebelumnya sehingga di dapat Berdasarkan statistik… angka shio ini. Luas = r x r x π. Rumus ekor mati untuk mencari angka ekor yang mati anda tinggal mencari jumlah tesson.2, misal hari ini keluar 9470 pada periode ini berarti nomor 2d nya saya buktinya sudah 10x jp dan saya sudah bener2 yaking dengan ki mursang yang tlah memberikan angka. Rubik 2×2 artinya ada 4. Maka dari itu anda dapat memperhatikan artikel ini dari awal sampai. Rumus ekor 2d terbaru ini bisa anda gunakan untuk menerapkan di angka hk sgp sidney kamboja dll.
Hal ini dikarenakan saya yang membuat rumus ini dengan cara sendiri dan terbukti ampuh tiap hari.
Ok sebelum itu, siapkan dulu yuks 2 data. Dapat dihitung sebagai 4 x 3 x 2 x 1 = 24. L = x d1 x d2 192 cm 2 = x penyelesian: Dari soal di atas dapat diambil kesimpulan bahwa perbandingan dari komponen x dan juga komponen y pada setiap ruas garis adalah sama, yakni 1 dan bilangan 1 ini. Pelajari lebih lanjut tentang permutasi dan kombinasi dalam matematika mulai dari pengertian perbedaan rumus permutasi rumus kombinasi contoh soal. Selamat pagi blogger, di pagi yang cerah ini saya akan memposting tutorial membuat aplikasi untuk mencari nilai x1 dan x2 dalam persamaan kuadrat dengan untuk itu saya akan memberikan sedikit ilmu yang saya peroleh, dari buku dan analisa saya mengenai rumus untuk mencari nila x1 dan x2. Kumpulan rumus bangun ruang beserta contoh soal dan pembahasannya. Berikut ini rumus yang umum digunakan dalam mencari luas permukaan, volume. Dan dengan hasil yang kalian dapatkan menggunakan rumus tersebut, lalu lakukan. Rumus angka mati rumus angka hidup rumus shio rumus mencari angka hidup 95% akurat, 5% keberuntungan anda dasar : Cara merumus jitu ekor tunggal akan diambil. Kotak rubik sendiri ada dua macam yaitu 2×2 dan 3×3. Luas = r x r x π.
Berbagi
Posting Komentar
untuk "Rumus Mencari X1 Dan X2 : Akar Akar Persamaan Kuadrat : Selain itu cara mencari persamaan lingkarannya juga melalui jari jari dan titik pusat yang diketahui sebelumnya."
Posting Komentar untuk "Rumus Mencari X1 Dan X2 : Akar Akar Persamaan Kuadrat : Selain itu cara mencari persamaan lingkarannya juga melalui jari jari dan titik pusat yang diketahui sebelumnya."